- 专业课考研资料 本站小编 免费考研网 2020-02-10
...
专业课考研资料 本站小编 免费考研网 2020-02-06- 专业课考研资料 本站小编 免费考研网 2020-02-04
- 专业课考研资料 本站小编 免费考研网 2020-02-04
- 专业课考研资料 本站小编 免费考研网 2020-02-04
视频选集1/5 P1基础班 01化学热力学基础—气体01 P2基础班 02 化学热力学基础—热力学第一定律01 P3基础班 02 化学热力学基础—热力学第一定律02 P4基础班 02 化学热力学基础—热力学第一定律03 P5基础班 02 化学热力学基础—热力学第一定律 ...
考试视频 本站小编 免费考研网 2020-01-26 视频选集1/19 P1考点强化(第02讲 热力学第一定律)-1 P2考点强化(第02讲 热力学第一定律)-2 P3考点强化(第02讲 热力学第一定律)-3 P4考点强化(第03讲 热力学第二定律)-1 P5考点强化(第03讲 热力学第二定律)-2(补充) P6考点强化(第03讲 热力学 ...
考试视频 本站小编 免费考研网 2020-01-26 ...
考试视频 本站小编 免费考研网 2020-01-26南京大学的物理化学公开课,教材是傅献彩主编的~ 第一章 气体 第二章 热力学第一定律 第三章 热力学第二定律 第四章 多组分系统热力学及其在溶液中的应用 第五章 相平衡 第六章 化学平衡 第七章 统计热力学基础 第八章 电解质溶液 第九章 可逆电池的电动势及其应用 第十章 电解与极化作用 第十一章 化学动力学基础(一) 第 ...
考试视频 本站小编 免费考研网 2020-01-26前天下午微所出了拟录取名单,19考研路应该算是正式走到尽头了。在我准备考研的初期论坛上往届学长的帖子也帮了我不少忙,本着把经验传承下去的想法,我把我在考研路上的一些经验分享给大家,希望能够对后来的学弟学妹们有所帮助。首先是专业方向的情况,今年微所方向分为集成电路工程和集成电路技术与管理。集成电路工程头 ...
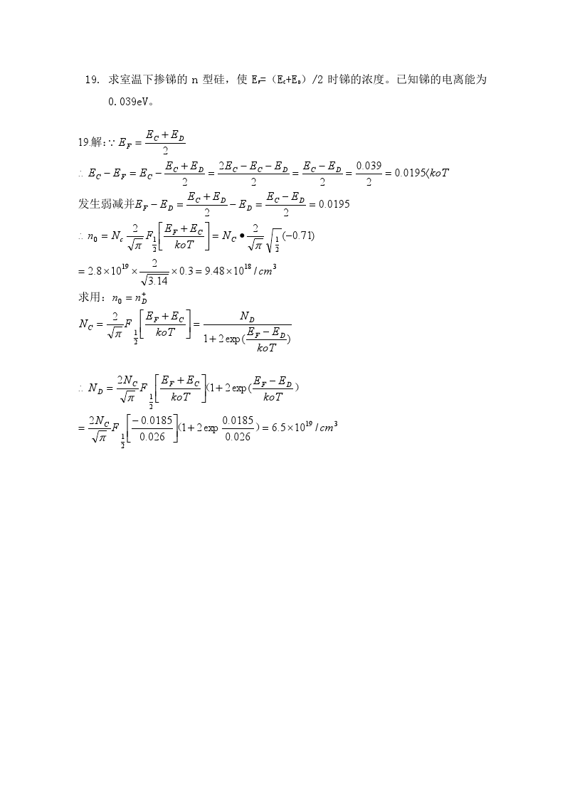
专业课考研资料 本站小编 免费考研网 2020-01-16今年整体来说比较难吧,我个人觉得难,器件重半导体物理部分,后面的器件基本没怎么考,模点比以往偏,没有考差分运放,重在运算放大器的部分,数电前面简单,但是最后一题也比较难。下面详细回忆下。
共11道题,前面器件,后模电,最后数电。
第一道,让分析半导体的电阻率随温度的变化关系,画出曲线并分 ...
专业课考研资料 本站小编 免费考研网 2020-01-16
作者: uu妹 时间: 2017-12-25 11:54
标题: 2018清华832专业课
攒一波人品 看真题太重要了。因为你发现电子线路根本不要去在意bjt,把拉扎维模集基础的内容学好才是王道,不过没有太深度太难。今年考研充满曲折 也载进去不少坑。希望你们加油 认真复习 钻研真题,把基础知识打扎实。
一共十一道大题,昨晚回来就写下来 ...
专业课考研资料 本站小编 考研帮 2020-01-16刚刚考完,总得来说,今年出题老师比较心慈手软啦,没有什么奇怪的半导体物理证明题,原题也不少,挺多题目之前真题里都出现过,但是题量不小,再加上不能带计算器,熟练度不够的话,照样可能翻车。
考完最大的感受,题不难,一路上最大的阻碍就是信息高度不透明,没大纲也没真题,三本参考书翻烂了也感觉抓不到重点,更何 ...
专业课考研资料 本站小编 免费考研网 2020-01-16准备阶段
其实我在大二的时候就考虑要考南师了,不过,我这个人向来喜欢完成一件事之后再做另一件事,所以我当时并没有立刻投入复习,而是去准备了我的教资哈哈哈,很幸运,教资一次笔试面试全过了,这样我才可以专心的投入考研。(有教资相关问题也可以滴滴我哈。)
寒假其实也没做什么,就是每天跟着手机软件背了背单词 ...
专业课考研经验 本站小编 免费考研网 2020-01-15题型:
高化有选择判断 问答 开放题
高物 单选 判断 多选 选择填空 图示 简答 计算
(高物除简答图示差不多都出自高分子物理习题集)
要熟记各种参数比如熔点 结晶度 等的测试方法 对应好 会考多选
高化
简答:
1.链增长速率公司 不同次数对应的情况
2.两种以上制备sbs的方法
3.引发剂诱导分解相关 ...
专业课考研资料 本站小编 免费考研网 2020-01-13