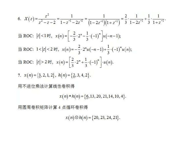
2017西安邮电大学考研复试DSP部分试题全解全析(6)
本站小编 免费考研网/2020-09-05
相关话题/西安邮电大学
西安邮电大学2014年824信号与系统考研真题
专业课考研资料 本站小编 免费考研网 2020-02-17西安邮电大学2013年824信号与系统考研真题
专业课考研资料 本站小编 免费考研网 2020-02-17西安邮电大学2012年824信号与系统考研真题
专业课考研资料 本站小编 免费考研网 2020-02-17西安邮电大学2011年824信号与系统考研真题
专业课考研资料 本站小编 免费考研网 2020-02-17西安邮电大学2010年824信号与系统考研真题
专业课考研资料 本站小编 免费考研网 2020-02-17西安邮电大学2009年824信号与系统考研真题
专业课考研资料 本站小编 免费考研网 2020-02-17西安邮电大学2008年824信号与系统考研真题
专业课考研资料 本站小编 免费考研网 2020-02-17西安邮电大学2007年824信号与系统考研真题
专业课考研资料 本站小编 免费考研网 2020-02-17西安邮电大学2006年824信号与系统考研真题
专业课考研资料 本站小编 免费考研网 2020-02-172012年西安邮电大学考研复试DSP数字信号处理试题答案全
专业课考研资料 本站小编 免费考研网 2019-11-292011年西安邮电大学考研复试DSP数字信号处理试题答案全解全析
专业课考研资料 本站小编 免费考研网 2019-11-292016西安邮电大学考研复试DSP数字信号处理真题答案解析
专业课考研资料 本站小编 免费考研网 2019-11-292015西安邮电大学考研复试DSP数字信号处理真题答案解析
专业课考研资料 本站小编 免费考研网 2019-11-292016西安邮电大学考研复试DSP数字信号处理试题全解全析
专业课考研资料 本站小编 免费考研网 2019-11-28西安邮电大学经济与管理学院811微观经济学历年考研真题汇编
目录封面内容简介目录2011年西安邮电学院811经济学考研真题2012年西安邮电学院811经济学考研真题2013年西安邮电大学811经济学考研真题2014年西安邮电大学811经济学考研真题2015年西安邮电大学811微观经济学考研真题内容简介本书收录了西安邮电大学经济与管理学院811微 ...辅导考试考研资料 本站小编 Free考研 2019-10-03

