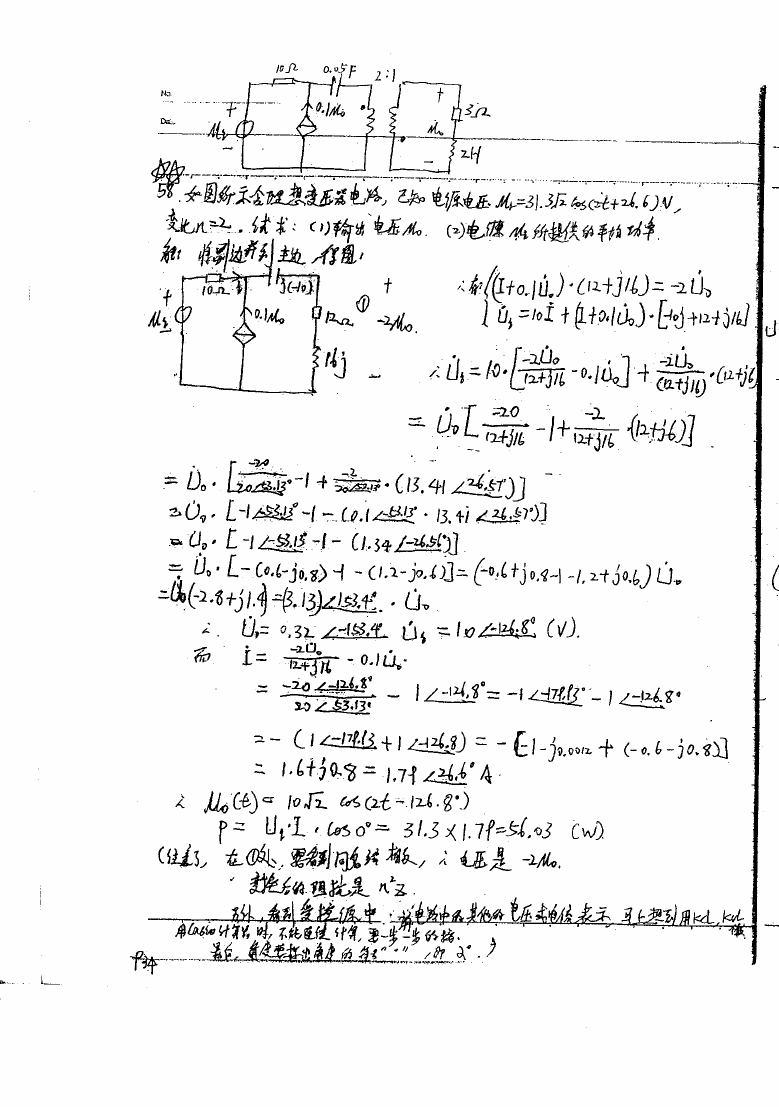
南京理工大学电路专业课考研辅导笔记(上)(65)

本站小编 免费考研网/2020-02-19


相关话题/南京理工大学 电路